CMOS反相器功耗分析
一、CMOS反相器基礎結構與工作原理
CMOS 反相器由 NMOS 晶體管與 PMOS 晶體管組合而成。當輸入端接入邏輯高電壓時,PMOS 晶體管截止,NMOS 晶體管導通,輸出端子經低電阻路徑連接至 0V。而當輸入端為邏輯低電壓時,PMOS 導通,NMOS 截止,輸出端經低電阻路徑連接到 VDD。由此實現邏輯高電平輸入對應邏輯低電平輸出,邏輯低電平輸入對應邏輯高電平輸出的反轉功能。
二、動態功耗詳解
盡管 CMOS 反相器在穩態下近乎不消耗電流,但在邏輯轉換過程中會產生成功率損耗,動態功耗主要包含開關功耗與短路功耗兩方面。
(一)開關功耗
輸入邏輯轉換時,瞬態電流流動用于給電路中的電容充電或放電。低輸出轉高輸出時,電流流通以對負載電容充電,使輸出電壓上升至 VDD 水準,如下圖充電電流路徑所示。

高輸出轉低輸出時,電容則通過相應路徑放電,致使輸出電壓降低。

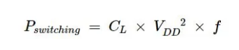
估算 CMOS 反相器開關損耗可依據公式 P = CL × VDD² × f,其中 CL 為負載電容,VDD 為電源電壓,f 為開關頻率。CL × VDD² 計算單個開關周期所需能量,乘以每秒循環次數 f 后轉換為功率形式。


高輸出轉低輸出時,電容則通過相應路徑放電,致使輸出電壓降低。

估算 CMOS 反相器開關損耗可依據公式 P = CL × VDD² × f,其中 CL 為負載電容,VDD 為電源電壓,f 為開關頻率。CL × VDD² 計算單個開關周期所需能量,乘以每秒循環次數 f 后轉換為功率形式。

(二)短路功耗
短路功耗源于邏輯電平轉換期間的瞬態短路電流。CMOS 反相器處于穩定邏輯狀態時,僅有一個晶體管導通,電流難以從 VDD 流向地。但在邏輯狀態轉換的短暫交叉期內,NMOS 和 PMOS 晶體管均呈現一定程度的導電性,形成短路路徑,電流經此短路從 VDD 流向地,造成能量損失,如下圖所示邏輯電平轉換時的短路情形。


三、靜態功耗探究
理想狀況下,CMOS 反相器穩態工作時 PMOS 與 NMOS 不同時導通,電源與地之間無直流通路,靜態功耗歸零。然而實際電路中,源或漏與襯底間的反偏二極管存在微弱泄漏電流 Istat,此泄漏電流引發的靜態功耗可表示為 P = VDD × Istat 。

泄漏電流產生的根源在于源或漏與襯底之間存在反偏二極管,在一定電壓下會有少量載流子跨越結區,形成微小電流。這些反偏二極管的特性、晶體管的幾何結構、半導體材料的特性以及工作溫度等多因素均會對泄漏電流的大小產生影響。溫度升高時,半導體材料中載流子的熱激發增強,泄漏電流往往會增大,從而增加靜態功耗。此外,晶體管的制造工藝 imperfections 也可能導致泄漏電流超出理想水平。

泄漏電流產生的根源在于源或漏與襯底之間存在反偏二極管,在一定電壓下會有少量載流子跨越結區,形成微小電流。這些反偏二極管的特性、晶體管的幾何結構、半導體材料的特性以及工作溫度等多因素均會對泄漏電流的大小產生影響。溫度升高時,半導體材料中載流子的熱激發增強,泄漏電流往往會增大,從而增加靜態功耗。此外,晶體管的制造工藝 imperfections 也可能導致泄漏電流超出理想水平。
深入理解 CMOS 反相器的功耗特性,對于優化電路設計、降低能耗以及提升整體性能具有極為關鍵的意義。在實際應用中,需綜合考量動態與靜態功耗,采取有效的優化策略,以實現 CMOS 反相器在不同工作場景下的最佳性能表現。
〈烜芯微/XXW〉專業制造二極管,三極管,MOS管,橋堆等,20年,工廠直銷省20%,上萬家電路電器生產企業選用,專業的工程師幫您穩定好每一批產品,如果您有遇到什么需要幫助解決的,可以直接聯系下方的聯系號碼或加QQ/微信,由我們的銷售經理給您精準的報價以及產品介紹
聯系號碼:18923864027(同微信)
QQ:709211280

