電容q值詳解
電容的Q值(或稱為電荷量)是指電容器中存儲的電荷量。電容器存儲的電荷量與電容器的電容量C和電壓V有關,可以用以下公式來表示:Q=C?V 其中,Q表示電荷量,C表示電容量,V表示電壓。
這個公式的意義是,電容器的電荷量與電容量成正比,電壓成比例。可以理解為,電容器的電荷量取決于兩個因素:其本身的電容量和所施加的電壓。
如果電容量較大,電容器能存儲的電荷量就越多;如果電壓較高,電容器中存儲的電荷量也會隨之增加。需要注意的是,電容器內的電荷量可以隨著時間的變化而變化,具體取決于電路中的電流。當電容器接入電路中后,電荷量會隨著時間的推移而增加或減少,直到達到穩態。
電容的基本原理
電容的功能就是以電場能的形式儲存電能量。以平行板電容器為例,簡單介紹下電容的基本原理。


上圖所示,在兩塊距離較近、相互平行的金屬平板上(平板之間為電介質)加載一個直流電壓;穩定后,與電壓正極相連的金屬平板將呈現一定量的正電荷,而與電壓負極相連的金屬平板將呈現相等量的負電荷;這樣,兩個金屬平板之間就會形成一個靜電場,所以電容是以電場能的形式儲存電能量,儲存的電荷量為Q。
電容儲存的電荷量Q與電壓U和自身屬性(也就是電容值C)有關,也就是Q=U*C。根據理論推導,平行板電容器的電容公式如下:


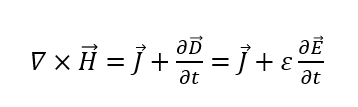
理想電容內部是介質(Dielectric),沒有自由電荷,不可能產生電荷移動也就是電流,那么理想電容是如何通交流的呢?
通交流
電壓可以在電容內部形成一個電場,而交流電壓就會產生交變電場。根據麥克斯韋方程組中的全電流定律:


即電流或變化的電場都可以產生磁場,麥克斯韋將ε(?E/?t)定義為位移電流,是一個等效電流,代表著電場的變化。(這里電流代表電流密度,即J)
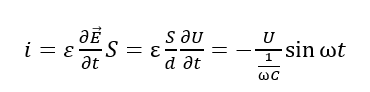
設交流電壓為正弦變化,即:


實際位移電流等于電流密度乘以面積:


所以電容的容抗為1/ωC,頻率很高時,電容容抗會很小,也就是通高頻。
電容在通交流的時候,內部的電場和磁場在相互轉換。
隔直流
直流電壓不隨時間變化,位移電流ε(?E/?t)為0,直流分量無法通過。
實際電容等效模型
實際電容的特性都是非理想的,有一些寄生效應;因此,需要用一個較為復雜的模型來表示實際電容,常用的等效模型如下:


由于介質都不是絕對絕緣的,都存在著一定的導電能力;因此,任何電容都存在著漏電流,以等效電阻Rleak表示;
電容器的導線、電極具有一定的電阻率,電介質存在一定的介電損耗;這些損耗統一以等效串聯電阻ESR表示;
電容器的導線存在著一定的電感,在高頻時影響較大,以等效串聯電感ESL表示;
另外,任何介質都存在著一定電滯現象,就是電容在快速放電后,突然斷開電壓,電容會恢復部分電荷量,以一個串聯RC電路表示。
大多數時候,主要關注電容的ESR和ESL。
品質因數(Quality Factor)
和電感一樣,可以定義電容的品質因數,也就是Q值,也就是電容的儲存功率與損耗功率的比:
Qc=(1/ωC)/ESR
Q值對高頻電容是比較重要的參數。
自諧振頻率(Self-Resonance Frequency)
由于ESL的存在,與C一起構成了一個諧振電路,其諧振頻率便是電容的自諧振頻率。在自諧振頻率前,電容的阻抗隨著頻率增加而變小;在自諧振頻率后,電容的阻抗隨著頻率增加而變小,就呈現感性。
〈烜芯微/XXW〉專業制造二極管,三極管,MOS管,橋堆等,20年,工廠直銷省20%,上萬家電路電器生產企業選用,專業的工程師幫您穩定好每一批產品,如果您有遇到什么需要幫助解決的,可以直接聯系下方的聯系號碼或加QQ/微信,由我們的銷售經理給您精準的報價以及產品介紹
聯系號碼:18923864027(同微信)
QQ:709211280

