晶閘管的基本工作原理體現在阻態、通態以及阻態和通態之間的轉換。
首先看晶閘管的反向阻斷狀態。當晶閘管門極開路,陽極和陰極處于反向偏置,即陽極電位低、陰極電位高時,晶閘管中的空間電荷區分布和電子、空穴流如圖1所示。此時J2結為正偏置,J1和J3結反偏置,圖中假設J2結的注入效率為1。由于J3結兩側雜質濃度高(重摻雜區),在低壓下即發生齊納擊穿,無承受電壓的能力,電壓幾乎都加在J1結上。因此,器件的反向特性與單PN結器件的反向特性相似。當外加電壓增加至J1結雪崩擊穿電壓時,發生反向擊穿現象。

圖1 晶閘管反偏阻斷時的載流子流示意圖
然后看晶閘管的正向阻斷狀態。當晶閘管門極開路,陽極和陰極處于正向偏置,即陽極電位高、陰極電位低時,晶閘管中的空間電荷區分布和電子、空穴流如圖2所示。

圖2 晶閘管正偏阻斷時的載流子流示意圖
此時J2結為反偏置,J1和J3結為正偏置,外加電壓幾乎全部降落在J2結上。通過器件的電流近似為J2結的反向飽和電流,器件處于正向阻斷狀態。而通過J1和J3結正偏置少子注入效應注入的空穴、電子分別在N1和P2區進行了部分內復合,然后通過J2結的反偏置少子抽出效應,分別被抽出到P2和N1區。當外加電壓增加至J2結雪崩擊穿電壓時,J2結空間電荷區寬度增加,電場增強,并發生顯著的雪崩倍增效應。于是,通過J2結的電流增加,也就是通過器件的電流增大,由原來的J2結反向漏電流轉變為通過J2結雪崩倍增的電流,器件處于轉折狀態。J2結兩側的N1和P2區內開始有電子、空穴來不及復合而不斷積累。這些積累的載流子一方面補償了J2結空間電荷區雜質離子,使空間電荷區寬度變窄,電場削弱,雪崩倍增效應減弱,起著抵消外加電壓的作用,引起耐壓降低;另一方面,P2區積累的空穴,N1區積累的電子使P2區電位升高,N1區電位降低,致使J3和J1結正偏壓升高,正向注入效應增強,通過J2結的電流進一步增大。隨著J2結兩側載流子的不斷積累,其空間電荷區電場、雪崩倍增效應亦不斷削弱,當雪崩倍增效應完全消失時,J2結兩側仍能維持電荷的積累,這樣,J1、J3結正向注入而到達J2結兩側積累起來的載流子,最終使J2由負偏壓轉變為正向偏置。3個結都處于正向偏置下,允許通過很大的電流,器件處于正向導通狀態。總的看上去的效果是,即使在門極開路的情況,晶閘管的正向電壓逐漸增加到一個轉折電壓后開始進入導通狀態,當門極有電流輸入時,此轉折電壓會降低。
而對于反向阻斷狀態來說,在承壓的兩側不會發生載流子的積累,因此不存在轉折電壓進人導通狀態。
最后來看晶閘管的導通狀態。當晶閘管處于導通狀態時,在J2結兩側累積大量的不平衡載流子。當流經晶閘管中的電流較大時,注人到N1和P2區來不及復合而積累下來的過剩載流子的濃度遠大于這兩區內雜質原子的濃度,使這兩個區都表現得像本征區一樣,此時整個晶閘管看上去就像一個PIN二極管一樣工作(此時晶閘管處于擎住,不需要門極電流流入),其通態特性也和PIN二極管表現一樣。但是當流經晶閘管中的電流較小時,其通態的工作原理就比較復雜。研究發現,當流經晶閘管中的電流小到一定程度時,大面積晶閘管中只有部分器件面積是開通的。在開通部分和不導電部分之間存在一個過渡區,如圖3所示。

圖3 流經小電流時晶閘管的導通情況
其中,Ⅰ區是導通區,Ⅱ區是過渡區,Ⅲ區是未導通區。如果流經電流慢慢增大,開通的區域會逐漸擴展。
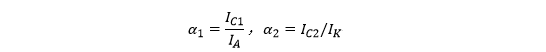
為了能定量地分析晶閘管開通和通態情況,可以使用雙晶體管等效電路。將PNPN結構的晶閘管拆成兩個相互連接的PNP和NPN型晶體管的過程如圖4所示,其中一個晶體管的集電極同時又是另一管的基板,這種結構形成了內部的正反饋聯系。每個晶體管中的兩個PN結相互作用,體現為晶體管的電流放大系數。兩個晶體管的電流放大系數分別為α1和α2,此時不用再考慮晶體管內部的電子、空穴流分布,直接使用電流放大系數來聯系晶體管的集電極和發射極電流,就可以對晶閘管的工作原理進行討論。


圖4 晶閘管的雙晶體管模型
在晶閘管加上正向電壓時,如果門極也加上正向電壓,則有電流IG從門極流入 NPN管的基極。NPN管導通后,其集電極電流IC2流入PNP管的基極,并使其導通,于是該管的集電極電流IC1又流入NPN管的基極。如此往復循環,形成強烈的正反饋過程,導致兩個晶體管均飽和導通,使晶閘管迅速由阻斷狀態轉為導通狀態。
注意到IA和IK分別為PNP和NPN管的發射極電流,則有


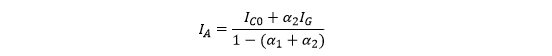
在J2結的內電場作用下,流過該結的反向漏電流是IC0,則晶閘管的陽極電流為


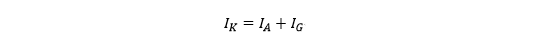
假定晶體管的門極電流為IG,則晶閘管的陰極電流為


合并之,得晶閘管的陽極電流為


由此可見,處于正向偏置下的晶閘管,當兩個晶體管的電流放大系數之和趨于1時,陽極電流就趨于無窮大(或者說由外電路來決定),晶閘管被門極信號觸發導通。所以說,晶閘管觸發導通的必要條件是:


而當正向偏置電壓極高,使J2結發生載流子倍增,存在倍增系數M則上述關系變為


這就是前面分析的有門極電流時,此正向阻態的轉折電壓會降低。
在晶體管的分析中知道,晶體管的電流放大系數并不是一個常數,而是隨流經電流變化而變化,晶閘管中的兩個等效晶體管電流放大系數也是如此。某個晶閘管的兩個電流放大系數如圖5所示。當晶閘管已經能夠導通,且流經電流達到一定程度時,即使不需要門極電流,陽極電流仍能維持,這種現象叫做擎住效應。這是晶閘管與晶體管的一個非常重要的區別,晶體管在無基極電流時會關斷。當然,每個等效晶體管電流放大系數的改變會有多種原因,比如溫度、光照或者du/dt引起的位移電流,它們都可以成為晶閘管從阻態進入通態的觸發條件。


圖5 電流放大系數隨電流變化的曲線
綜上所述,晶閘管的伏安特性曲線的表示如圖6所示。在正向偏置下,器件處于正向阻斷狀態,當偏置電壓較高時發生轉折了,由阻態進入通態,這種狀態的轉換,可以由電壓引起,也可以由門極電流引起(或者其他原因),當門極通入適當電流時,在一定的偏置電壓下可以觸發導通晶閘管,此時即使去掉門極電流,器件仍能維持導通狀態不變。可見,晶閘管一旦導通,門極就失去控制作用。因此,觸發電流常采用脈沖電流,而無需采用直流。導通之后,只要流過器件的電流逐漸減小到某值,器件又可恢復到阻斷狀態。這種關斷方式稱為自然關斷,除此之外,還可在陽陰極之間采用加反偏壓的方法進行強迫關斷。在反向偏置下,其伏安特性和二極管的完全相同。

圖6 晶閘管伏安特性示意圖
〈烜芯微〉專業制造二極管,三極管,MOS管,橋堆等20年,工廠直銷省20%,上萬家電路電器生產企業選用,專業的工程師幫您穩定好每一批產品,如果您有遇到什么需要幫助解決的,可以點擊右邊的工程師,或者點擊銷售經理給您精準的報價以及產品介紹
電話:18923864027(同微信)
QQ:709211280〈烜芯微〉專業制造二極管,三極管,MOS管,橋堆等20年,工廠直銷省20%,上萬家電路電器生產企業選用,專業的工程師幫您穩定好每一批產品,如果您有遇到什么需要幫助解決的,可以點擊右邊的工程師,或者點擊銷售經理給您精準的報價以及產品介紹

