mos管漏電流與VGS呈指數關系
至此,所考慮的MOS晶體管的工作,都是柵極—源極間電壓VGS比閾值電壓VT大時的狀況。當VGS比VT大很多時,在柵氧化膜下方構成反型層(溝道),在漏極-源極間有電流活動,這種狀態稱為強反型狀態。
但是,即便MOS晶體管的柵極,源極間電壓VGS處在閾值電壓VT以下,漏極電流也并不等于0,依然有微小的電流活動,這時MOS晶體管的工作狀態叫做弱反型(weak inversion),工作區域叫做弱反型區。
在弱反型區,漏極電流關于VGS呈指數關系增加,電流表達式為下式:

式中,Io是與制造工藝有關的參數;”叫做斜率因子(slope factor),由耗盡層電容Cd與柵氧化膜電容Cox之比按下式計算求得:

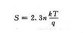
n的普通值是1~1.5。另外,n值還能夠從圖2.8中曲線的斜率求得。這個曲線的橫軸是VGS,縱軸取logID。n越小,logID-VGS。曲線在弱反型區中直線局部的斜率就越陡,MOS晶體管的漏電流就越小。這個斜率的倒數叫做亞閾擺動(sub-threshold swing)或者亞閾斜率(subthreshold slope),其定義式如下:

亞閾擺動S表示弱反型區中漏極電流變化1個數量級所需求的柵極-源極間電壓。應用式(2.12),能夠得到:

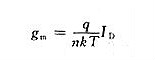
其單位通常用(mV/dec)表示。亞閾擺動小的MOS晶體管,意味著OFF時的漏電流小。當n=1時,室溫下下面求弱反型區中的跨導gm。

由式(2.1)和式(2.l2)能夠得到由該式能夠看出,弱反型區中跨導與漏極電流成比例。
mos管漏電流-MOSFET柵漏電流噪聲分析
分析問題:MOSFET的柵漏電流噪聲模型 MOSFET的柵漏電流噪聲模型分析與探討
解決方案:超薄柵氧隧穿漏電流低頻噪聲模型 柵電流噪聲電容等效電荷漲落模型 CMOS器件的等比例縮小發展趨勢,導致了柵等效氧化層厚度、柵長度和柵面積都急劇減小。對于常規體MOSFET,當氧化層厚度<2 nm時,大量載流子以不同機制通過柵介質形成顯。

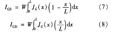
由BSIM4提出的簡易MOS模型的柵極電流分量模型

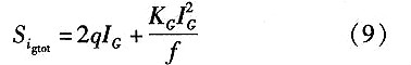
其中,JG是柵極電流密度,L是溝道長度,W是溝道寬度,x是沿溝道的位置(源極處x=0,漏極處x=L),IGS和IGD是柵極電流的柵/源和柵/漏分量。通過線性化柵電流密度與位置的關系,簡化這些等價噪聲電流分析表達式,所得的總柵極電流噪聲表達式為:

常數KG可通過低頻噪聲實驗測試獲得,IG可通過直流測試得到。
(2)柵電流噪聲電容等效電荷漲落模型
FET溝道中的熱噪聲電壓漲落導致了溝道靜電勢分布的漲落。溝道成為MOS電容的一塊平板,柵電容之間的電壓漲落引起電荷漲落,將電荷漲落等效于柵電流漲落。在Van Der Ziel對JFET誘生柵噪聲的早期研究之后,Shoji建立了柵隧穿效應的MOSFET模型,即是將MOS溝道作為動態分布式的RC傳輸線。
器件溝道位置x處跨越△x的電壓漲落驅動兩處傳輸線:一處是從x=0展伸至x=x,另一處從x=x展伸至x=L。柵電流漲落作為相應的漏一側電流漲落和源一側電流漲落之間的差異估算得出。在極端復雜的計算中保留Bessel函數解的首要條件,于器件飽和條件下,估算得出了柵電流漲落噪聲頻譜密度解析表達式為:

模型分析與探討
mos管漏電流,MOSFET柵漏電流噪聲模型分析與探討。實驗表明,超薄柵氧MOSFET柵電流噪聲呈現出閃爍噪聲和白噪聲成分,測試曲線表明白噪聲接近于散粒噪聲(2qIG)。對于小面積 (W×L=0.3×10 μm2)器件,1/f噪聲成分幾乎為柵電流IG的二次函數,柵電流噪聲頻譜密度SIG(f)與柵電流IG存在冪率關系,即SIG(f)∝IGγ。
超薄柵氧隧穿漏電流低頻噪聲模型適用于超薄柵氧化層MOSFET低頻段噪聲特性表征,與等效柵氧厚度為1.2 nm柵電流噪聲測試結果的對比,驗證了其正確性。通過模型與實驗噪聲測試結果及器件模擬的對比,可用于提取慢氧化層陷阱密度分布。
唯象模型利用勢壘高度漲落和源于二維電子氣溝道的柵極泄漏電流的洛侖茲調制散粒噪聲,來解釋過剩噪聲特征。低頻和高頻范圍內,測量值和仿真值均有良好的一致性。模型將過剩噪聲解釋成1/f''''''''''''''''伊噪聲和洛侖茲調制散粒噪聲之和,能夠準確預測超薄柵氧化層的MOS晶體管的過剩噪聲性質并適于在電路仿真中使用。
柵電流分量噪聲模型,模擬結果與低漏偏置下的1.5 nm柵氧厚度p-MOSFET的數值模擬結果和實驗數據一致。該模型適用于納米級MOSFET,僅限于描述由柵隧穿效應引起的柵漏電流漲落。模型兩待定參數都可通過實驗獲得,可方便計算不同偏置下的點頻噪聲幅值。
等效電容電荷漲落模型中,柵電流通過柵阻抗產生的電壓漲落經由器件跨導在溝道處得到證實。該模型僅適用于器件飽和條件下,由于忽略了襯底效應,誘生襯底電流和溝道中的高場效應,其適用性和精確度均不高。
烜芯微專業制造二極管,三極管,MOS管,橋堆等20年,工廠直銷省20%,1500家電路電器生產企業選用,專業的工程師幫您穩定好每一批產品,如果您有遇到什么需要幫助解決的,可以點擊右邊的工程師,或者點擊銷售經理給您精準的報價以及產品介紹
烜芯微專業制造二極管,三極管,MOS管,橋堆等20年,工廠直銷省20%,1500家電路電器生產企業選用,專業的工程師幫您穩定好每一批產品,如果您有遇到什么需要幫助解決的,可以點擊右邊的工程師,或者點擊銷售經理給您精準的報價以及產品介紹

